SOLUTIONS
TWO MARKS QUESTIONS
Define the term molarity and molality. What is the effect of temperature on these concentration terms?
Ans – No of moles of solute in 1 litre of solution is molarity whereas no of moles of solute in 1 kg of solvent is called molality. Molality does not change with temperature whereas molarity changes because M depends on volume and volume changes with temperature change.
State Henry’s law and explain the effect of it solubility of gases in liquids.
Ans – “Solubility of a gas in a liquid is directly proportional to the partial pressure of the gas present above the surface of liquid or solution”. More the value of KH, less will be the solubility of the gas.
State Roult’s law if (i) both the components of a solution is volatile and (ii) solution contains a nonvolatile solute.
Ans – (i) Partial vapour pressure of each component in the solution is directly proportional to its mole fraction present in the solution.
(ii) The vapour pressure of the solution containing non-volatile solute is directly proportional to the mole fraction of solvent only.
Compare ideal and non-ideal solutions.
Ans –
|
Ideal solutions |
Non-ideal solution |
|
Obeys Roult’s law. |
Does not obey Roult’s law. |
|
∆Vmix & ∆Hmix both = 0 |
∆Vmix & ∆Hmix both ≠ 0 |
|
n- hexane & n- heptane, bromoethane & chloroethane |
Ethanol & water, acetone & chloroform |
Compare non-ideal solutions showing positive and negative deviations.
Ans –
|
Positive deviation |
Negative deviation |
|
Observed V.P. > calculated V.P. |
|
|
A-B interaction decreases. |
A-B interaction increases. |
|
Minimum boiling azeotrope is formed. |
Maximum boiling azeotrope is formed. |
|
Water & Ethanol. |
Chloform & Acetone. |
What is abnormal molar mass? How will it be corrected?
Ans – Due to association or dissociation of solute particles in the solution the molar mass observed is found different from actual molar mass of the solute. Now the observed molar mass is called abnormal molar mass. It will be corrected using vant-Hoff’s factor while using calculation of molar mass of solute using any colligative property.
What will be vant-Hoff factor for the followings?
(a) Acetic acid in water (b) Acetic acid in benzene (c) K4[Fe(CN)6] in water.
Ans – (a) More than 1 (b) less than 1 (if 100% dimerization takes place). (c) 5 if 100% ionisation.
To find the molar mass of biomolecules, osmotic pressure method is preferred. Justify.
Ans – because using osmotic pressure method temperature of the solution does not change and therefore correct molar mass is calculated whereas other methods are based on temperature change and therefore the biomolecules may decomposed or denaturized.
Arrange the following solutions in increasing order of boiling points and freezing points. Give justification also.
0.1 M KCl AND 0.1 M glucose.
Ans – B.P. = 0.1 M glucose < 0.1 M KCl – because KCl is ionized in solution and gives approximately double number of particles as compared to glucose solution. F.P. = 0.1 M KCl < 0.1 M glucose – reason is same.
What is meant by Colligative Properties? Give types of colligative properties.
Ans – The properties of a solution depends upon no of particles of solute not on the nature, in the solution are called colligative properties.
(a) Relative lowering of vapour pressure (b) Elevation of boiling point (c) Depression of freezing point (d) Osmotic pressure. All are directly proportional to the molality of the solution.
THREE MARKS QUESTIONS
Define Osmotic pressure. What do you understand by the term hypertonic and hypotonic solutions? What happens when blood cells are kept in fresh water?
Ans – Movement of solvent particles through the semipermeable membrane from dilute to concentrate solution is called osmosis.
The solution which has higher osmotic pressure is called hypertonic whereas the solution which has lower osmotic pressure is called hypotonic solution. Blood cells swell because of endosmosis.
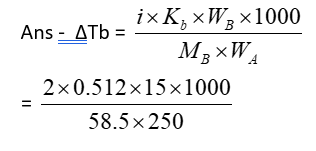
Calculate the boiling point of a solution prepared by adding 15 g of NaCl to 250 g of water. (Kb for water = 0.512 K Kg mol-1 and molar mass of NaCl = 58.5 g/mol). Assuming that NaCl is 100% ionized in water.

= 1.052 K
Boiling point of the solution = 373 + 1.052 = 374.052 K
The vapour pressure of pure benzene at a certain temperature is 0.850 bar. A non-volatile solute weighing 0.5 g when added to 39.0 g of benzene (molar mass = 78g/mol). Vapour pressure of the solution, then, is 0.845 bar. What is the molar mass of the solid substance?
Ans – The various quantities known as follows:
=0.850 bar; p = 0.845 bar, M1 = 78g mol-1; w2 = 0.5 g; w1 = 39 g
Substituting these values

M2 = 170 g mol-1
CHEMICAL KINETICS
TWO MARKS QUESTIONS
Define the term average rate and instantaneous rate of reaction.
Ans – Change of concentration of either reactant or product in a measurable time interval is called average rate and if time interval is taken zero then average rate becomes instantaneous rate. Unit of rate = mol/L/s.
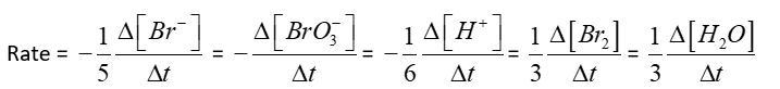
Write the rate expression with respect to each reactant and product for the reaction given below.

Ans

Calculate the overall order of a reaction which has the rate expression

Order = x + y

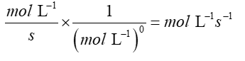
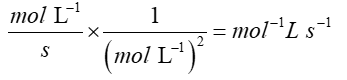
What are the units of rate constant for the zero, first and second order of reactions?
Ans –
|
Reaction |
Order |
Unit of rate constant |
|
Zero order reaction |
0 |
![]() |
|
First order reaction |
1 |
![]() |
|
Second order reaction |
2 |
![]() |
Compare molecularity and order of a reaction.
Ans – (i) Order of a reaction is an experimental quantity. It can be zero and even a fraction but molecularity cannot be zero or a non integer.
(ii) Order is applicable to elementary as well as complex reactions whereas molecularity is applicable only for elementary reactions.
Write the integrated rate equations for both zero and first order reactions. Also write their formulas to find half-life.
Ans – For zero order – K = [R]0 – [R]/t & t1/2 = [R]0/2K
For first order – K = 2.303/t . log [R]0/[R] & t1/2 = 0.693/K
(a) What is the effect of temperature change by 100C on rate constant?
(b)Define pseudo first order reaction.
Ans – (a) Rate constant becomes doubled.
(b) In a bimolecular reaction, if concentration of one of the reactant is taken in excess, then reaction becomes first order kinetics. Such reactions are known as pseudo first order reactions.
10. Define activation energy. Explain the effect of catalyst on activation energy of a reaction?
Ans – The minimum amount of energy that is required to cross the energy barrier and form activated complex for the reactant molecules, is called energy of activation.
A catalyst provides an alternate path of lower activation energy and increase the reaction rate.
THREE MARKS QUESTIONS
A reaction is first order in A and second order in B.
(i) Write the differential rate equation.
(ii) How is the rate affected on increasing the concentration of B three times?
(iii) How is the rate affected when the concentrations of both A and B are doubled?
Ans – . (i) Rate = K[A]1 [B]2
(ii) Rate = K[A]1 [3B]2 = 9K[A]1 [B]2 hence, it becomes 9 times.
(iii)Rate = K[2A]1 2[B]2 = 8K[A]1 [B]2 hence, it becomes 8 times.
Draw the graphical representations of zero and first order reactions showing time and conc. of the reactant.


How is the activation energy of a reaction calculated by graphical method?

COORDINATION COMPOUNDS
1. Write IUPAC name of the complex [Cr(NH3)4Cl2]+.
Ans Tetraaminedichloridocromium(III) ion.
2. Using IUPAC norms write the formulae for the following :
a)Pentaamminenitrito-O-cobalt(III) ion
(b)Potassium tetracyanidonickelate(II)
Ans – (i) [Co(NH3)5(ONO)]2+ (ii) K2[Ni(CN)4]
Define and give one example each of linkage and coordination isomerism.
Ans – Linkage isomerism arises due to presence of ambidentate ligands. Any example Coordination isomerism arises due to exchange of ligands between positive and negative coordination spheres.
Define ambidentate ligands and chelating ligands with suitable example.
Ans – An ambidentate ligand has two donor sites but monodentate in nature at a time. NO2–, SCN– etc
What are homoleptic and heteroleptic complexes?
Ans – In homoleptic complexes all the ligands present are same whereas in heteroleptic complexes different kind of ligands is present. 
Write the state of hybridisation of central metal and structure of the following complexes-
[NiCl4]2- & [Ni(CN)4]2-
Ans – [NiCl4]2- is tetrahedral and sp3 hybrid.
[Ni(CN)4]2- is square planer and dsp2 hybrid.
Give evidence that [Co(NH3)5Cl]SO4 and [Co(NH3)5(SO4)]Cl are ionisation isomers.
Ans – first will give white ppt with barium chloride whereas the second will give white ppt with silver nitrate, so these are ionisation isomers.
What are the possible hybridisation and geometry of complexes having coordination number 4 and 6?
Ans – Coordination no 4 = dsp2 hybridisation – square planer structure & sp3 hybridisation – tetrahedral structure.
Coordination no 6 = d2sp3 and sp3d2 hybridisation – octahedral structure.
[NiCl4]2- is paramagnetic while [Ni(CO) 4] is diamagnetic though both are tetrahedral. Why?
Ans – first one has unpaired electrons whereas the second one has no unpaired electron.
12. Complexes with Polydentate ligands are more stable than other complexes. Justify by giving examples.
Ans – Polydentate ligands offer chelating effect which makes the complex more stable.
13. Give the electronic configuration of the following complexes on the basis of Crystal Field Splitting theory:
[CoF6]3-, [Fe(CN)6]4- and [Cu(NH3)6]2+
Ans – [CoF6]3−,Co3+→(3d6)→t2g4eg2
[Fe(CN)6]4−,Fe2+→(3d6)→t2g6eg0
[Cu(NH3)6]2+,Cu2+→(3d9)→t2g6eg3
Compare the key points of VBT and CFT.
Ans – key points are – VBT is metal centred whereas CFT is ligand centred.
VBT is based of hybridisation hypothesis whereas CFT is based of splitting of d orbitals under the influence of ligands
The D- and F- Block Elements
Give Reasons
(i) The enthalpies of atomisation of transition elements are high.
(ii) The transition metals and many of their compounds act as good catalysts.
(iii) From element to element the actinoid contraction is greater than the lanthanoid contraction.
(iv) The E0 Value for the Mn3+ / Mn2+ couple is much more positive than that of Cr3+ / Cr2+.
(v) Scandium (Z=21) does not exhibit variable oxidation states and yet it is regarded as a transition element.
Ans-
(i) This is because transition metals have strong metallic bonds as they have a large number of unpaired electrons.
(ii) The catalytic activity of transition metals is attributed to the following reasons:
(a) Because of their variable oxidation states transition metals form unstable intermediate compounds and provide a new path with lower activation energy for the reaction.
(b) In some cases, the transition metal provides a suitable large surface area with free valencies on which reactants are adsorbed.
(iii) This is due to poorer shielding by 5f electrons in actinoids than that by 4f electron in the lanthanoids.
(iv) This is because half filled d-subshell (3d5) in Mn2+ is more stable.
(v) This is because scandium has partially filled d orbitals in the ground state (3d14s2).
Q2.
(a) What may be the possible oxidation states of the transition metals with the following d electronic configurations in the ground state of their atoms:
3d3 4s2 , 3d5 4s2 and 3d6 4s2 . Indicate relative stability of oxidation states in each case.
(b) Write steps involved in the preparation of (i) Na2CrO4 from chromite ore and (ii) K2MnO4 from pyrolusite ore.

Discuss the relative stability in aqueous solutions of +2 oxidation state among the elements : Cr, Mn, Fe and Co. How would you justify this situation?
(At. Nos. Cr 24, Mn = 25, Fe=26, Co: 27)
Ans – On the basis of electrochemical series the standard electrode potential shows the following order
E0 Mn2+/Mn < E0 Cr2+/Cr < E0 Fe2+/Fe < E0 Co2+/Co
Therefore, Co 2+ gets easily reduced to metallic cobalt while it is difficult to reduce Mn2+ Hence Mn2+ will be most stable and the increasing stability order will be
Co2+ < Fe2+ < Cr2+ < Mn2+
Compare actinoids and lanthanoids with reference to their :
(i) electronic configurations of atoms
(ii) oxidation states of elements
(iii) general chemical reactivity of elements.

Assign a reason for each of the following:
(i) The third ionization energy of Mn (Z 25) is higher than that of either Cr (Z = 24) or Fe (Z 26).
(it) Simple copper (l) salts are not stable in aqueous solutions.
Ans
(i) This is because Mn2+ is more stable as it has exactly half filled configuration 3d5 4s0.
(ii) Cu2+ (aq) is much more stable than Cu+ (aq). This is because, although second ionization enthalpy of copper is large but for Cu2+ (aq) is much more negative than that of Cu+ (aq) and therefore, it more than compensates for the second ionisation enthalpy of copper. Therefore, Cu+ ion aqueous solution undergoes disproportionation.
Describe the trends in the following properties of the first series of the transition elements :
(i) Oxidation states
(ii) Atomic sizes
(iii) Magnetic behaviour of dipositive gaseous ions (M2+)
Ans –
As there is very little energy difference between 4s and 3d orbitals, electrons from both energy levels can be used for chemical bond formation. Therefore all elements except sc and Zn, of the first transition series show a number of oxidation states as shown in table.
Oxidation states of the first series transition elements (the most common ones are in bold letter)

(ii) Atomic radii of the first transition series decreases from SC to Cr, then remains almost constant till Ni and then increases from Cu to Zn.
The reason of this variation in atomic radii has been attributed to the increase in nuclear charge in the beginning of the series. But as the electrons continue to be filled in d-orbitals. they screen the outer 4s from the influence of nuclear Charge. When the increased nuclear Charge and the increased screening balance each other in the middle of transition series, atomic radii becomes almost constant (Mn to Fe). Towards the end of the series. the repulsive interaction between electrons in d orbitals become Very dominant. As a result there is an expansion of the electron cloud: consequently, the atomic increases.
(iii) Expect Zn2+, all other divalent gaseous ions of the first series Of the transition elements contain unpaired electrons in their 3d subshell and are therefore paramagnetic in nature.
The magnetic moment (μ) of the elements of the first transition series can be calculated with the unpaired (n) by the spin-only formula
μ = B.M. 
(a) What is meant by the term lanthanoid contraction? What is it due to and what consequences does it have on the chemistry of elements following lanthanoids in the periodic table?
(b) Explain the following observations:
(i) Cu+ ion is unstable in aqueous solutions.
(ii) Although Co2+ ion appears to be stable, it is easily oxidised to Co3+ ion in the presence of a strong ligand.
(iii) The E0 Mn2+/Mn value for manganese is much more than expected from the trend for other elements in the series.
Ans
(a) Lanthanoid contraction: The steady decrease in the atornic and ionic radii of lanthanoids with increase in atomic number is known as lanthanoid contraction.
Cause of contraction: As we move along the lanthanoid series, for every additional proton in the nucleus, the corresponding electron goes into 4f—subshell, there is poor shielding of one electron by another in this subshell due to the shapes of these f—orbitals. The imperfect shielding is not able to counterbalance the effect of the increased nuclear charge. Thus the net result is decrease in size with increase in atomic number.
Consequences :
(i) 5d series elements have nearly radii as that of 4d—series.
(ii) The basic strength of hydroxides decreases from La(OH)3 to Lu(OH)3.
(b) (i) Because the high hydration enthalpy of Cu easily compensates the second ionization enthalpy of Cu.
(ii) Because strong ligand cause spin pairing giving rise to diamagnetic octahedral complex which are very stable and have very large crystalfield stabilization energy. This splitting energy overcomes the ionization enthalpy.
(iii) This is due to stability of Mn2+ as it has half-filled d configuration.





Leave a Reply